Cette gestion permet de créer les chemins de composition qui seront utilisés dans la gestion des nomenclatures articles pour identifier les différentes nomenclatures. Les chemins sont des chemins soit de kit, de support, de substitution, de vente, de négoce, d'achat, de pièce équivalente ou de composition d'équipements. Ils concernent des articles stockés, vendus, achetés ou de maintenance.
Données
Chemin
Il s'agit du code alphanumérique du chemin de composition des articles. La structure du code est contrôlée par le rôle du chemin.
Libellé complet
Libellé réduit
Quantité - Pourcentage - Quantité et pourcentage
Réservé aux nomenclatures d'articles vendus ou de maintenance : la quantité de la composition correspond à un pourcentage si l'option "Pourcentage" est choisie.
L'option "Quantité et pourcentage" est réservée aux nomenclatures d'articles vendus. La quantité de la composition correspond à la quantité de l'article composant et le pourcentage de répartition de la composition correspond au pourcentage à appliquer sur le prix de l'article composé pour obtenir le prix de l'article composant.
Quantité variable
Quand cette case n'est pas cochée, la quantité de composant doit être égale à 1.
Application variation
Frais fixe
Si cette case est cochée et si l'application des quantités variables est autorisée, la quantité des lignes de marché d'achats (GMADA, GMALA) concernant des frais fixes varie en fonction de la quantité de l'article composé et la quantité de la nomenclature de l'article composant.
Frais variable
Si cette case est cochée et si l'application des quantités variables est autorisée, la quantité des lignes de marché d'achats (GMADA, GMALA) concernant des frais variables varie en fonction de la quantité de l'article composé et la quantité de la nomenclature de l'article composant.
Nomenclature Pour
Support
Ce chemin permet de définir les articles à ajouter automatiquement dans une expédition (par exemple, des articles d'emballages : palettes, caisses américaines, ...).
Ce chemin concerne les articles vendus. On ne peut définir qu'un seul chemin de ce type.
Substitution
Ce chemin permet de définir les articles de substitution ou de remplacement lors de la réception achat. Ce chemin concerne des articles achetés ou vendus.
Kit
Ce chemin permet de définir des nomenclatures pour générer des mouvements de stocks d'entrées et de sorties. Il concerne les articles stockés.
Vente
Ce chemin permet de définir les compositions d'articles vendus (articles composés, articles composants).
Négoce
Non géré.
Achat
Ce chemin permet de définir les compositions d'articles achetés utilisés lors de la saisie des commandes d'achats.
Pièce équivalente
Ce chemin permet de définir les articles de remplacement lors de la saisie d'un bon de travail ou d'un compte rendu. Ce chemin concerne les articles de maintenance.
Composition d'équipements
Les organes étant des équipements d'une catégorie particulière, des compositions d'organes sont possibles si le chemin de composition le permet.
Article de Type
Indique la définition des articles supportés par ce chemin : nomenclature d'articles achetés ou vendus ou stockés ou de maintenance.
Pour les articles de type acheté, stocké ou maintenance, un seul niveau est géré, par contre pour les articles de type vendu plusieurs niveaux sont gérés en fonction de la définition de l'article vendu (GATV).
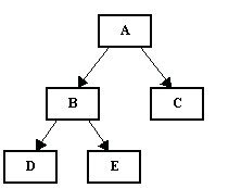
Exemple pour les articles vendus :
Sur la commande de ventes il y aura les articles B, C, D et E.
Acheté
Vendu
Stocké
Maintenance
Gestion de l'établissement
Permet d'indiquer si les compositions sur ce chemin sont définies pour tous les établissements ou pour un établissement.
Si des compositions sont déjà définies sur ce chemin, il n'est pas possible d'activer l'option directement, il faut utiliser le traitement de reprise des données TRCAR.